back.jpg

MF responds to 2023 Divorce Stats

Marriage Foundation responds to the publication of new ONS Divorce Stats

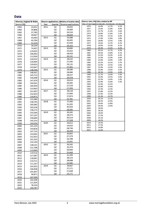
Responding to today’s publication by the Office for National Statistics (ONS) of divorce statistics covering 2023, the first full year since the introduction of so-called no fault divorces, Marriage Foundation welcomed the figures that show no significant increase (see analysis).

Harry Benson, Marriage Foundation’s Research Director, commented: "There has been a small increase in the number of divorces, but this is due to two factors, firstly some divorces coming through more quickly because of the shortened time scale and the secondly the courts clearing up the Covid backlog. Once both are taken into account, the change in the rate is less than many of the fluctuations we have seen in recent years. In short, there are no signs whatsoever of a rise in divorce rates. In fact these figures as our analysis shows confirm divorces are still at levels we last saw back in the 1970s. So this is good news on two fronts. Marriages are the strongest in 50 years and the legal system is now kind and sensible to those for whom it doesn't work out."

He added: “These figures are also a repudiation of those who prophesied a massive increase in the divorce rate, by removing blame from the divorce system - Those fears were unfounded as many campaigners, like Marriage Foundation and family lawyers Resolution said at the time." 

ENDS